Nancy Chasquibol Silva
Investigadora del IDIC y coordinadora del Laboratorio de Alimentos Funcionales de la Facultad de Ingeniería y Arquitectura de la Universidad de Lima
Perfil en el CRIS Ulima
La desnutrición infantil influye negativamente en el crecimiento de los niños, disminuye su capacidad de aprendizaje y su estado de salud se puede ver afectado por problemas renales, diabetes tipo II, sobrepeso, entre otros. Estas consecuencias de la desnutrición pueden traducirse también en un costo económico, cuyo estimado anual a nivel mundial es de 3,5 billones de dólares (Fondo de las Naciones Unidas para la Infancia, s. f.). En el Perú, el 12,2 % de los niños menores de 5 años tiene problemas de desnutrición; en la región de Piura, es el 13,1 % (Instituto Nacional de Estadística e Informática, 2019).
Frente a este problema global, planteamos al IDIC y al PNIPA el proyecto “Revalorización de péptidos bioactivos de residuos de productos hidrobiológicos para contribuir a la disminución de la desnutrición infantil y al incremento de la competitividad de la industria pesquera de la bahía de Sechura, Piura”. El objetivo es desarrollar prototipos de alimentos funcionales (2) a partir de péptidos bioactivos (3) obtenidos de los subproductos de las conchas de abanico, para ayudar a disminuir la desnutrición infantil del país.
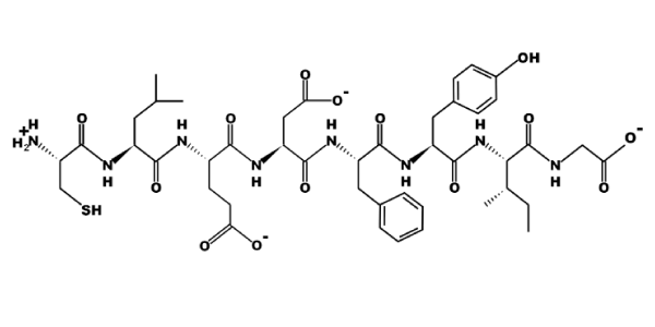
A manera de ejemplo, mostramos la estructura de dos péptidos extraídos de especies marinas:

Figura 1. Mitilina B extraída de mejillones (Mytilus edulis) (Aneiros y Garateix, 2004).

Figura 2. CgPep33 extraído de ostras (Crassostrea gigas) (Liu et al., 2008).
La investigación se desarrollará en cuatro etapas:
- En la primera etapa, se caracterizará la harina obtenida de los residuos blandos de las conchas de abanico —que son la masa visceral, el manto y las branquias (4)— procedentes de la planta de la empresa Gam Corp S. A. en Sechura.
- En la segunda etapa, se obtendrán los aislados proteicos y los péptidos bioactivos mediante hidrólisis enzimática (5) y se evaluará su caracterización nutricional, hipertensiva, antioxidante y antihipertensiva.
- En la tercera etapa, se formularán prototipos de alimentos funcionales, como sopas y mazamorras deshidratadas, con diferentes porcentajes de péptidos bioactivos e insumos de la biodiversidad peruana. Estos alimentos tendrán características nutricionales, antioxidantes, hipotensoras y antihipertensivas que ayudan a disminuir la desnutrición infantil.
- En la última etapa se evaluarán, en los prototipos de alimentos desarrollados y mediante análisis in vitro, los efectos de la proteína caracterizada para medir sus propiedades funcionales.

Figura 3. Partes de la concha de abanico (Helm et al., 2006, “Segunda parte”).
El proyecto durará dos años y finalizará en diciembre del 2021. Como uno de los objetivos del proyecto y del programa del PNIPA, el miércoles 10 de junio se realizó el taller de inicio, que fue virtual debido a la emergencia sanitaria. En el evento participé junto con el doctor Francisco Millán Rodríguez, del Instituto de la Grasa (CSIC) de Sevilla, y el señor Mauricio Arenas, gerente comercial de la empresa Gam Corp S. A. En la mesa redonda también participaron los doctores Justo Pedroche Jiménez, del Instituto de la Grasa (CSIC) de Sevilla, y Claudia Mónika Haros, coordinadora de la red La Valse Food CYTED (6) e investigadora del IATA de Valencia. Entre los más de cien asistentes nacionales e internacionales, se contó con la participación de universidades nacionales públicas y privadas, empresas líderes en alimentos, instituciones del estado, así como universidades y centros de investigación de Brasil, Argentina, Colombia, Ecuador, Paraguay, México, Francia, Guatemala, España e Italia.
| Citar esta entrada de blog (APA, 7.a edición) Chasquibol-Silva, N. (13 de julio de 2020). Proyecto para combatir la desnutrición infantil con péptidos bioactivos de subproductos de conchas de abanico de la bahía de Sechura. Scientia et Praxis: Un blog sobre investigación científica y sus aplicaciones. https://www.ulima.edu.pe/instituto-de-investigacion-cientifica/blogs/proyecto-para-combatir-la-desnutricion-infantil-con |
Notas
(1) El proyecto es dirigido por la doctora Nancy Chasquibol (nchasquibol@ulima.edu.pe), investigadora del IDIC y directora del Centro de Estudios e Innovación de Alimentos Funcionales (CEIAF) de la Facultad de Ingeniería y Arquitectura de la Universidad de Lima, lugar donde se desarrolla el proyecto. La investigación cuenta con la participación de Rafael Alarcón Rivera, Billy Gonzales García y Axel Sotelo Contreras, del CEIAF, y los doctores Francisco Millán Rodríguez, Justo Pedroche Jiménez y María del Carmen Millán Linares, del Instituto de la Grasa (CSIC) de Sevilla, España. Además, se tiene la colaboración de la empresa Gam Corp. S. A. Este proyecto es financiado por el Programa Nacional de Innovación en Pesca y Acuicultura (PNIPA), del Ministerio de la Producción, y es gestionado por el Instituto de Investigación Científica (IDIC) de la Universidad de Lima.
(2) “Un alimento puede considerarse funcional si se demuestra satisfactoriamente que ejerce un efecto beneficioso sobre una o más funciones selectivas del organismo, además de sus efectos nutritivos intrínsecos, de modo tal que resulte apropiado para mejorar el estado de salud y bienestar, reducir el riesgo de enfermedad, o ambas cosas” (Ashwell, 2004, p. 5).
(3) Los péptidos bioactivos son fragmentos de proteínas formados por entre dos y veinticinco aminoácidos unidos por enlaces peptídicos, que influyen en las funciones biológicas del cuerpo humano al ser antimicrobianos, anticancerígenos, antioxidantes, antihipertensivos, entre otros (Walther y Sieber, 2011).
(4) La masa visceral comprende partes del sistema digestivo (como el esófago, los palpos labiales y la boca) y del sistema circulatorio (como la aurícula y el ventrículo). El manto está compuesto por unas finas fundas de tejido que recubren el resto de partes blandas de la concha, y su principal función es segregar la concha. La branquia es el órgano respiratorio de las conchas y cumple además una función digestiva, ya que filtra el alimento del agua (Helm et al., 2006).
(5) La hidrólisis enzimática es la ruptura de moléculas de proteína en péptidos de tamaños diversos y aminoácidos. Se da por la acción que algunos grupos de enzimas ejercen en los enlaces peptídicos (Daliri et al., 2017).
(6) El CEIAF es miembro de la red La Valse Food.
Referencias
Aneiros, A., y Garateix, A. (2004). Bioactive peptides from marine sources: Pharmacological properties and isolation procedures. Journal of Chromatography B, 803(1), 41-53.
Ashwell, M. (2004). Conceptos sobre los alimentos funcionales. International Life Sciences Institute in Europe (ILSI).
Daliri, E. B.-M., Oh, D. H., y Lee, B. H. (2017). Bioactive peptides. Foods 2017, 6(5), 32.
Fondo de las Naciones Unidas para la Infancia (2019). The state of the world’s children 2019. Children, food and nutrition: growing well in a changing world.
Helm, M. M., Bourne, N., y Lovatelli, A. (2006). Cultivo de bivalvos en criadero. Un manual práctico [FAO Documento Técnico de Pesca 471]. Roma: FAO.
Instituto Nacional de Estadística e Informática (2019). Perú: Indicadores de resultados de los programas presupuestales, primer semestre 2019.
Liu, Z., Dong, S., Xu, J., Zeng, M., Song, H., y Zhao, Y. (2008). Production of cysteine-rich antimicrobial peptide by digestion of oyster (Crassos treagigas) with alcalase and bromelin. Food Control, 19(3), 231-235.
Walther, B., y Sieber, R. (2011). Bioactive proteins and peptides in foods. International Journal for Vitamin and Nutrition Research, 81, 181-191.
Añadir nuevo comentario